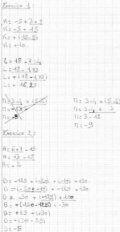
francoise 63 Posté(e) le 9 septembre 2015 Signaler Posté(e) le 9 septembre 2015 bonjour pouvez vous vérifier si mes exercices sont bon merci beaucoup pour votre aide
francoise 63 Posté(e) le 9 septembre 2015 Auteur Signaler Posté(e) le 9 septembre 2015 merci beaucoup Barbidoux bonne soirée
Messages recommandés
Archivé
Ce sujet est désormais archivé et ne peut plus recevoir de nouvelles réponses.