bzoin-aide-math Posté(e) le 19 août 2014 Signaler Posté(e) le 19 août 2014 Bonjour, Voici un calcul de limite pour lequel j'arrive à une indétermination de type 0/0. J'ai commencé à appliquer les binômes conjugués mais je suis un peu bloqué, est - ce que je peux encore simplifier au stade où je suis arrivé ? Ce serait vraiment très sympa de votre part si vous pourriez corriger sur la feuille jointe, histoire que ce soit plus clair. Bel aprèm à vous. /applications/core/interface/file/attachment.php?id=17876">HB.PDF /applications/core/interface/file/attachment.php?id=17876">HB.PDF /applications/core/interface/file/attachment.php?id=17876">HB.PDF /applications/core/interface/file/attachment.php?id=17876">HB.PDF /applications/core/interface/file/attachment.php?id=17876">HB.PDF /applications/core/interface/file/attachment.php?id=17876">HB.PDF /applications/core/interface/file/attachment.php?id=17876">HB.PDF /applications/core/interface/file/attachment.php?id=17876">HB.PDF /applications/core/interface/file/attachment.php?id=17876">HB.PDF /applications/core/interface/file/attachment.php?id=17876">HB.PDF /applications/core/interface/file/attachment.php?id=17876">HB.PDF HB.PDF
E-Bahut Barbidoux Posté(e) le 19 août 2014 E-Bahut Signaler Posté(e) le 19 août 2014 Pour lever ce genre d'indétermination on utilise le théorème de l'hopital. Dans ce cas cela donne lim √(x - 1/2)/(1 - √(8*x^2 - 1))= lim -√(8*x^2-1)/(16*x*√(x-1/2)=-1/0= -∞
bzoin-aide-math Posté(e) le 19 août 2014 Auteur Signaler Posté(e) le 19 août 2014 Merci Barbidoux mais en fait je sais bien pour l'Hospital mais l'intitulé exact de l'exo c'est calculez la lim de deux manière, y a la manière classique donc celle comme j'ai commencé avec les binômes et l'Hospital; c'est la classique qui me pose problème...
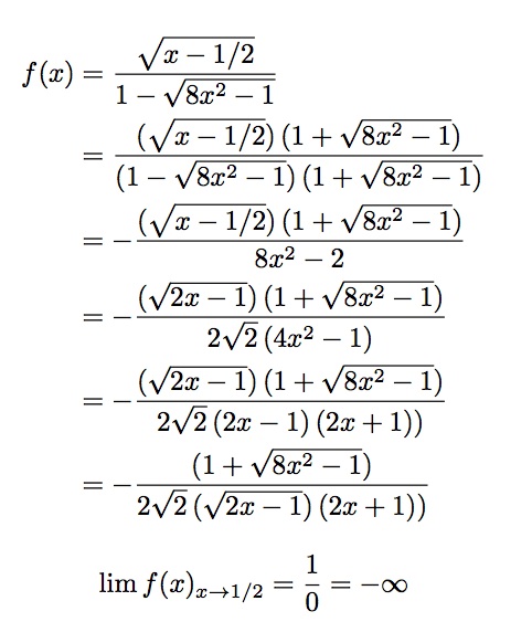
bzoin-aide-math Posté(e) le 19 août 2014 Auteur Signaler Posté(e) le 19 août 2014 J'ai essayé une autre façon en appliquant les binômes conjugués, merci de continuer la simplification, je suis bloqué... Ce serait vraiment très sympa de votre part si vous pourriez corriger sur la feuille jointe, histoire que ce soit plus clair. /applications/core/interface/file/attachment.php?id=17877">HB.PDF /applications/core/interface/file/attachment.php?id=17877">HB.PDF /applications/core/interface/file/attachment.php?id=17877">HB.PDF /applications/core/interface/file/attachment.php?id=17877">HB.PDF /applications/core/interface/file/attachment.php?id=17877">HB.PDF /applications/core/interface/file/attachment.php?id=17877">HB.PDF /applications/core/interface/file/attachment.php?id=17877">HB.PDF /applications/core/interface/file/attachment.php?id=17877">HB.PDF /applications/core/interface/file/attachment.php?id=17877">HB.PDF /applications/core/interface/file/attachment.php?id=17877">HB.PDF /applications/core/interface/file/attachment.php?id=17877">HB.PDF HB.PDF
bzoin-aide-math Posté(e) le 19 août 2014 Auteur Signaler Posté(e) le 19 août 2014 ça c'est TOP ! mercii beaucoup
Messages recommandés
Archivé
Ce sujet est désormais archivé et ne peut plus recevoir de nouvelles réponses.