Aller au contenu

Aide En Cinématique, C'est Urgent! S'il Vous Plait.


CiB

Messages recommandés

Posté(e)

Bonjour, pour demain j'ai un devoir à remettre mais je ne m'en sors pas trop. J'ai besoin d'aide, s'il vous plait! Je dois réussir mon devoir si je veux avoirs deux semaines de congé.

Depuis ce matin je suis bloquée....

1. 1) v=1m/s

2) e=16,5m

3) t=1000s

4) je sais pas comment faire

5) v(moyenne)=0,065m (sa me paraît bizarre)

2. 1) e= 50903m (sa le parait bizarre)

2) je ne sais pas comment faire

3. 1) t=10s

2) e= 1100m

3) v=-70m/s

4) je sais pas

4. 1) e=500m

2) v=100m/s

3) t=50m

4) v(finale)=500m/s

5. Je ne sais pas

6. Je ne sais pas

7. v=0,8m/s

8. v=75km/h

Merci de m'aider

post-69058-0-25658700-1385910880_thumb.j

post-69058-0-25658700-1385910880_thumb.j

post-69058-0-25658700-1385910880_thumb.j

post-69058-0-25658700-1385910880_thumb.j

post-69058-0-25658700-1385910880_thumb.j

post-69058-0-25658700-1385910880_thumb.j

post-69058-0-25658700-1385910880_thumb.j

post-69058-0-25658700-1385910880_thumb.j

post-69058-0-25658700-1385910880_thumb.j

post-69058-0-25658700-1385910880_thumb.j

post-69058-0-25658700-1385910880_thumb.j

post-69058-0-25658700-1385910880_thumb.j

  • E-Bahut
Posté(e)

----------------

Exercice 1

----------------

1----------------

vitesse finale vf=v0-gamma*t

vf=36/3.6-3*3=1m/S

2---------------

mouvement uniforme décéléré

v(t)=v0-gamma*t

x(t)=-gamma*t^2/2+v0*t+x0

ici x0=0

distance parcourue durant sa décélération :

x(t)=-3*9/2+10*3=16.5 m

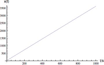
3--------------

Temps mis pour parcourir de dernier km

1000/1=1000 s

4--------------

post-24224-0-84355800-1385915885_thumb.jpost-24224-0-60332500-1385915889_thumb.j

5--------------

Vitesse moyenne

1016.5/1003=1.013 m/s=3.64 km/h

----------------

Exercice 2

----------------

x1=80*t

x2=200-50*t

elles se rencontreront lorsque x1=x2 ==> t=200/130=1.538 =1 h 32 ' 18 "

à une distance d1=80*200/130=123.077 km de A

-----------------

post-24224-0-48805000-1385915901_thumb.j

----------------

Exercice 3

----------------

v=v0-g*t

z(t)=-g*t^2/2+v0*t+z0=-9.81*t^2/+30*t+300

l'objet atteint le sol pour T tel que z(t)=0

-9.81*t^2/+30*t+300=0 ==> deux racines t=-5.3391 et t=11.4554 . On ne conserve que la racine >0 qui est la seule à avoir un sens physique

-----------------

le maximum de z(t) est obtenue lorsque z'(t)=v(t)=0 ==> t= v0/g=3.06 s et cela correspond à une altitude égale à z(v0/g)=-v0^2/(2*g)+v0^2/g+z0=v0^2/(2*g)+z0=30^2/(2*9.81)+300=345.87 m

Vitesse en arrivant au sol |v(tz(t)=0)|=|v0-g*t|=|30-9.81*11.45554|=-82.38 m/s

post-24224-0-67754700-1385915906_thumb.j

post-24224-0-18045600-1385915911_thumb.j

post-24224-0-84355800-1385915885_thumb.j

post-24224-0-60332500-1385915889_thumb.j

post-24224-0-48805000-1385915901_thumb.j

post-24224-0-67754700-1385915906_thumb.j

post-24224-0-18045600-1385915911_thumb.j

post-24224-0-84355800-1385915885_thumb.j

post-24224-0-60332500-1385915889_thumb.j

post-24224-0-48805000-1385915901_thumb.j

post-24224-0-67754700-1385915906_thumb.j

post-24224-0-18045600-1385915911_thumb.j

post-24224-0-84355800-1385915885_thumb.j

post-24224-0-60332500-1385915889_thumb.j

post-24224-0-48805000-1385915901_thumb.j

post-24224-0-67754700-1385915906_thumb.j

post-24224-0-18045600-1385915911_thumb.j

post-24224-0-84355800-1385915885_thumb.j

post-24224-0-60332500-1385915889_thumb.j

post-24224-0-48805000-1385915901_thumb.j

post-24224-0-67754700-1385915906_thumb.j

post-24224-0-18045600-1385915911_thumb.j

post-24224-0-84355800-1385915885_thumb.j

post-24224-0-60332500-1385915889_thumb.j

post-24224-0-48805000-1385915901_thumb.j

post-24224-0-67754700-1385915906_thumb.j

post-24224-0-18045600-1385915911_thumb.j

post-24224-0-84355800-1385915885_thumb.j

post-24224-0-60332500-1385915889_thumb.j

post-24224-0-48805000-1385915901_thumb.j

post-24224-0-67754700-1385915906_thumb.j

post-24224-0-18045600-1385915911_thumb.j

post-24224-0-84355800-1385915885_thumb.j

post-24224-0-60332500-1385915889_thumb.j

post-24224-0-48805000-1385915901_thumb.j

post-24224-0-67754700-1385915906_thumb.j

post-24224-0-18045600-1385915911_thumb.j

post-24224-0-84355800-1385915885_thumb.j

post-24224-0-60332500-1385915889_thumb.j

post-24224-0-48805000-1385915901_thumb.j

post-24224-0-67754700-1385915906_thumb.j

post-24224-0-18045600-1385915911_thumb.j

post-24224-0-84355800-1385915885_thumb.j

post-24224-0-60332500-1385915889_thumb.j

post-24224-0-48805000-1385915901_thumb.j

post-24224-0-67754700-1385915906_thumb.j

post-24224-0-18045600-1385915911_thumb.j

post-24224-0-84355800-1385915885_thumb.j

post-24224-0-60332500-1385915889_thumb.j

post-24224-0-48805000-1385915901_thumb.j

post-24224-0-67754700-1385915906_thumb.j

post-24224-0-18045600-1385915911_thumb.j

post-24224-0-84355800-1385915885_thumb.j

post-24224-0-60332500-1385915889_thumb.j

post-24224-0-48805000-1385915901_thumb.j

post-24224-0-67754700-1385915906_thumb.j

post-24224-0-18045600-1385915911_thumb.j

  • E-Bahut
Posté(e)

----------------

Exercice 4

----------------

z(t)=-g*t^2/2+v0*t+z0 ici v0=0

z(t)=-g*t^2/2+z0

z(10)=0 ==>z0=g*t^2/2=9.81*100/2=490.5 m

La vitesse du poids vaut v(t)=-g*t ==> e arrivant au sol sa vitesse est de |v(10)|=|-9.81*10|=98.1 m/s =320.76 km/h

-----------

Pas possible de répondre à la question 3 sans savoir la direction de la vitesse initiale du poids.

Si l'on suppose qu'elle est vertical et orientée vers le bas alors :

z(t)=-g*t^2/2-v0*t+z0=-9.81*t^2/2-10*t+981/2

et le temps mis par le poids pour arriver au sol serait tel que :

z(t)=0=-g*t^2/2-v0*t+981/2

deux racines de signe contraire on conserve la positive t=9.03 s

Vitesse finale

v(t)=-g*t-10=-9.81*9.03-10=-98.58 m/s=354.9 km/h

----------------

Exercice 5

----------------

La seule accélération à laquelle est soumise l'obus est l'accélération de la pesanteur.

z(t)=-g*t^2/2+v0*t+z0=-9.81*t^2/2+300*t

z(t)=0 deux racines t=0 et t=600/(9.81)=61.16 s

il arrive au sol au bout de 61.16 s

sa hauteur maximale zmax, correspond à une vitesse nulle acquise au bout d'un temps t tel que v(t)=0=v0-g*t==>t=v0/g=300/9.81=30.58 s, elle vaut

zmax=z(30.58)=4587.16 m

-------

L'obus atteint la mi-hauteur de sa trajectoire au bout d'un temps t tel que z(T)=zmax/2 ==> 4587.16/2=-9.81*t^2/2+300*t ==> =-9.81*t^2/2+300*t -4587.16/2=0

Deux racine t=8.957 et t=52.20

Pour t=8.957 la vitesse est verticale dirigée vers le haut v(t)=v0-g*t=300-8.957*9.81=212.1 m/s =763.6 km/h

Pour t=8.957 la vitesse est verticale dirigée vers le bas et à la même valeur absolue |v(t)|=|v0-g*t|=300-52.205*9.81=212.1m/s =763.6 km/h

-------

Lorsque l'on néglige les frottements a vitesse d'un objet ne dépend ni de sa géométrie ni de sa masse elle dépend uniquement de sa vitesse initiale et de son accélération

----------------

Exercice 6

----------------

En supposant que le ballon s'est élevé du sol sans vitesse initiale dans une direction verticale avec une accélération verticale égale à 9.8 ms son équation horaire est donc z(t)=g*t^2/2 =9.8*t^2/2 il a atteint l'altitude de 392 m au bout d'un temps t tel que 392=8.9*t^2/2 ==> t=9.386 s. Sa vitesse verticale vaut donc v(t)=g*t=9.81*9.386=91.98 m/s. La bombe est donc lancée avec cette vitesse initiale. Elle est soumise à la force de pesanteur et son équation horaire à pour expression :

z(t)=-g*t^2/2+v0*t+z0=-9.8*t^2/2+91.98*t+392

et sa vitesse vaut

v(t)=v0-g*t = 91.98-9.8*t

Elle éteindra son altitude maximale zmax lorsque v(Tzmax)=0 ==> Tzmax=91.98/9.8=9.386 s

zmax=z(Tzmax)=823.65 m

Le temps mis pour percuter le sol est la racine positive de :

z(t)=-9.8*t^2/2+91.98*t+392=0 soit t=22.35 s

----------------

Exercice 7

----------------

1 h6 =1.1 h ==> Vitesse moyenne du parcours 55/1.1=50 km/h. La vitesse du fleuve est orientée en sens inverse de celle du bateau qui possède donc une vitesse de 53 km/h.

----------------

Exercice 8

----------------

en 2 h la voiture ayant une vitesse v2 aura parcouru la même distance que la première de vitesse v1=60 km pendant une durée de 2+1/2=5/2 h ==> 2*V2=60*(2+1/2) ==>v2=75 km /h

Posté(e)

Merci beaucoup! Je vous en suis très reconnaissante!

Je comprends mieux comment procéder, mais jamais j'aurais sur faire tous cela...

Merci, vous me sauvez la vie! Merci d'avoir pris de votre temps à m'aider!

Archivé

Ce sujet est désormais archivé et ne peut plus recevoir de nouvelles réponses.

×
×
  • Créer...
spam filtering
spam filtering