Aller au contenu

Généralités Sur Les Fonctions / 1 Question Que Je N'arrive Pas! / Nul En Maths


fuck-les-maths

Messages recommandés

Posté(e)

Nul mais vraiment nul en maths..

Sa fait depuis lundi que je suis sur mon DM et je dois le rendre pour ce 23/09,enfin breff !

Je comprend pas cette question :

Soit f la fonction qui à x associe l'aire du triangle OMH.

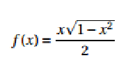
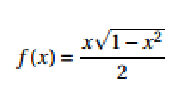
Montrer que

post-69331-0-66748400-1379711782_thumb.p

Merci d'avance,Océane

post-69331-0-66748400-1379711782_thumb.p

post-69331-0-66748400-1379711782_thumb.p

post-69331-0-66748400-1379711782_thumb.p

post-69331-0-66748400-1379711782_thumb.p

post-69331-0-66748400-1379711782_thumb.p

post-69331-0-66748400-1379711782_thumb.p

post-69331-0-66748400-1379711782_thumb.p

post-69331-0-66748400-1379711782_thumb.p

post-69331-0-66748400-1379711782_thumb.p

post-69331-0-66748400-1379711782_thumb.p

post-69331-0-66748400-1379711782_thumb.p

  • E-Bahut
Posté(e)

OMH est rectangle en H, donc par le célébrissime Pythagore 1=x^2+h^2 soit h=sqrt(1-x^2) avec sqrt() pour racine carrée().

L'aie de OMH est égale 1/2*O*MH=1/2*x*sqrt(1-x^2) donc f(x)=(x*sqrt(1-x^2))/2

Remplir le tableau ne présenta pas de difficultés, avec une calculatrice scientifique ou un tableur informatique.

Au travail.

Archivé

Ce sujet est désormais archivé et ne peut plus recevoir de nouvelles réponses.

×
×
  • Créer...
spam filtering
spam filtering