clemgym Posté(e) le 28 mars 2011 Signaler Posté(e) le 28 mars 2011 Bonjour, j'ai un soucis avec cet exercice en Physique-Chimie. Merci d'avance. Énoncé : Donnée : - M(Mg)= 24,3 g mol- 1 Pour déterminer le volume molaire d'un gaz on réalise l'expérience selon le protocole opératoire suivant : _ verser dans un ballon environ 20 mL d'eau et V1 = 5,0 m L d'une solution d'acide chlorhydrique de concentration C1 = 3,0 m o l L- 1 _ mesurer une longueur l = 9,0 cm de ruban de magnésium, plier ce ruban et le placer dans le ballon. Fixer le ballon horizontalement, lui adapter un tube à dégagement. Faire plonger l'autre extrémité dans une cuve à eau _ placer l'éprouvette graduée de 100 mL, pleine d'eau, au-dessus du tube à dégagement _ constater le dégagement gazeux. Quand ce dégagement gazeux cesse, ramener en enfonçant plus ou moins l'éprouvette dans l'eau, les surfaces libres du liquide de l'éprouvette et du cristallisoir dans le même plan horizontal. Mesurer le volume V de gaz dégagé. 1) Indiquer le matériel utilisé pour mesurer les volumes d'eau et d'acide à introduire dans le ballon. 2) Schématiser le dispositif expérimental. 3) Le gaz qui se dégage est du dihydrogène. Comment pourrait-on le mettre en évidence expérimentalement ? 4) Donner la formule des ions présents dans une solution de chlorure d'hydrogène (acide chlorhydrique). 5) Lors de la réaction du magnésium avec l'acide chlorhydrique, il se forme des ions Mg2+. Indiquer les deux couples oxydant/réducteur mis en jeu dans la réaction. 6) Établir, à partir des demi-équations, l'équation de la réaction chimique responsable du dégagement gazeux. 7) La masse d'un ruban de magnésium de longueur L = 24,0 m est m2 = 25,0 g Calculer la quantité de matière du magnésium utilisé, si l'on coupe un morceau de ce ruban de longueur l = 9,0 cm. 8) En déduire à l'aide d'un tableau prenant en compte l'avancement x de la réaction, les quantités de matière, dans l'état final des réactifs et produits formés. 9) Sachant que le volume de gaz dégagé est V = 90 m L , en déduire le volume molaire dans les conditions de l'expérience Merci à vous !
E-Bahut Barbidoux Posté(e) le 29 mars 2011 E-Bahut Signaler Posté(e) le 29 mars 2011 Pour déterminer le volume molaire d'un gaz on réalise l'expérience selon le protocole opératoire suivant : _ verser dans un ballon environ 20 mL d'eau et V1 = 5,0 m L d'une solution d'acide chlorhydrique de concentration C1 = 3,0 m o l ?L- 1 _ mesurer une longueur l = 9,0 cm de ruban de magnésium, plier ce ruban et le placer dans le ballon. Fixer le ballon horizontalement, lui adapter un tube à dégagement. Faire plonger l'autre extrémité dans une cuve à eau _ placer l'éprouvette graduée de 100 mL, pleine d'eau, au-dessus du tube à dégagement _ constater le dégagement gazeux. Quand ce dégagement gazeux cesse, ramener en enfonçant plus ou moins l'éprouvette dans l'eau, les surfaces libres du liquide de l'éprouvette et du cristallisoir dans le même plan horizontal. Mesurer le volume V de gaz dégagé. 1) Indiquer le matériel utilisé pour mesurer les volumes d'eau et d'acide à introduire dans le ballon. Eprouvette graduée 2) Schématiser le dispositif expérimental. 3) Le gaz qui se dégage est du dihydrogène. Comment pourrait-on le mettre en évidence expérimentalement ? combustion explosive. Le dihydrogène contenu dans une éprouvette s'enflamme avec une alumette en donnant une détonation caractéristique. 4) Donner la formule des ions présents dans une solution de chlorure d'hydrogène (acide chlorhydrique). H^(+) et Cl^(-) 5) Lors de la réaction du magnésium avec l'acide chlorhydrique, il se forme des ions Mg2+. Indiquer les deux couples oxydant/réducteur mis en jeu dans la réaction. Couples redox H^(+)/H2 et Mg^(2+)/Mg 6) Établir, à partir des demi-équations, l'équation de la réaction chimique responsable du dégagement gazeux. Equation électroniques (électrochimiques) H^(+)(aq)+e(^-)(s) --> (1/2)*H2(g) Mg(^2+)(aq)+2*e^(-)(s)--> Mg(s) Réaction redox Mg(s)+2*H^(+)(aq)--> Mg(^2+)(aq)+H2(g) 7) La masse d'un ruban de magnésium de longueur L = 24,0 m est m2 = 25,0 g Calculer la quantité de matière du magnésium utilisé, si l'on coupe un morceau de ce ruban de longueur l = 9,0 cm. m(Mg)=0,09*25/24=0.09375 g n(Mg)=m(Mg)/M(Mg)=0.09*25/(24*24.3)=3,86*10^(-3) mol 8) En déduire à l'aide d'un tableau prenant en compte l'avancement x de la réaction, les quantités de matière, dans l'état final des réactifs et produits formés. ...........Mg(s)+2*H^(+)(aq)--> Mg(^2+)(aq)+H2(g) t=0......(a)...........(b).........................(0)................(0) t........(a-x).......(b-2*x)......................(x)................(x) où a= n(Mg)=3,86*10^(-3) mol est le nombre initial de moles de magnésium, b=0,05*3=0,015 mol le nombre initial de moles d'ion H^(+) et x l'avancement de la réaction. On suppose la réaction non inversible (totale) et l'avancement final est égal à l'avancement maximale obtenu lors de l'épuissement d'un réactif limitant ou des réactifs s'il sont initialement présents dans les proportions stoechiométrioques de la réaction. On se trouve dans le cas où b>2*a et le r'actif limitant est le magnésium ...........Mg(s)+2*H^(+)(aq)--> Mg(^2+)(aq)+H2(g) tfin.....(0)..........(b-2*a)......................(a)................(a) 9) Sachant que le volume de gaz dégagé est V = 90 m L , en déduire le volume molaire dans les conditions de l'expérience Vm=90/a=90/(3,858*10^(-3))=23328 ml=23,3 L
clemgym Posté(e) le 30 mars 2011 Auteur Signaler Posté(e) le 30 mars 2011 Salut ! Merci de ta réponse ! Pour la 2) je fais des schémas de chaque protocole opératoire ? Pour la 8) je n'ai pas compris le tableau... T=0 ? ; a b c ?? Merci
E-Bahut Barbidoux Posté(e) le 30 mars 2011 E-Bahut Signaler Posté(e) le 30 mars 2011 Salut ! Merci de ta réponse ! Pour la 2) je fais des schémas de chaque protocole opératoire ? Pour la 8) je n'ai pas compris le tableau... T=0 ? ; a b c ?? Merci
clemgym Posté(e) le 30 mars 2011 Auteur Signaler Posté(e) le 30 mars 2011 AHH !! OKOK ! Merci à toi ! Si j'ai un soucis je t'appelle ! =)
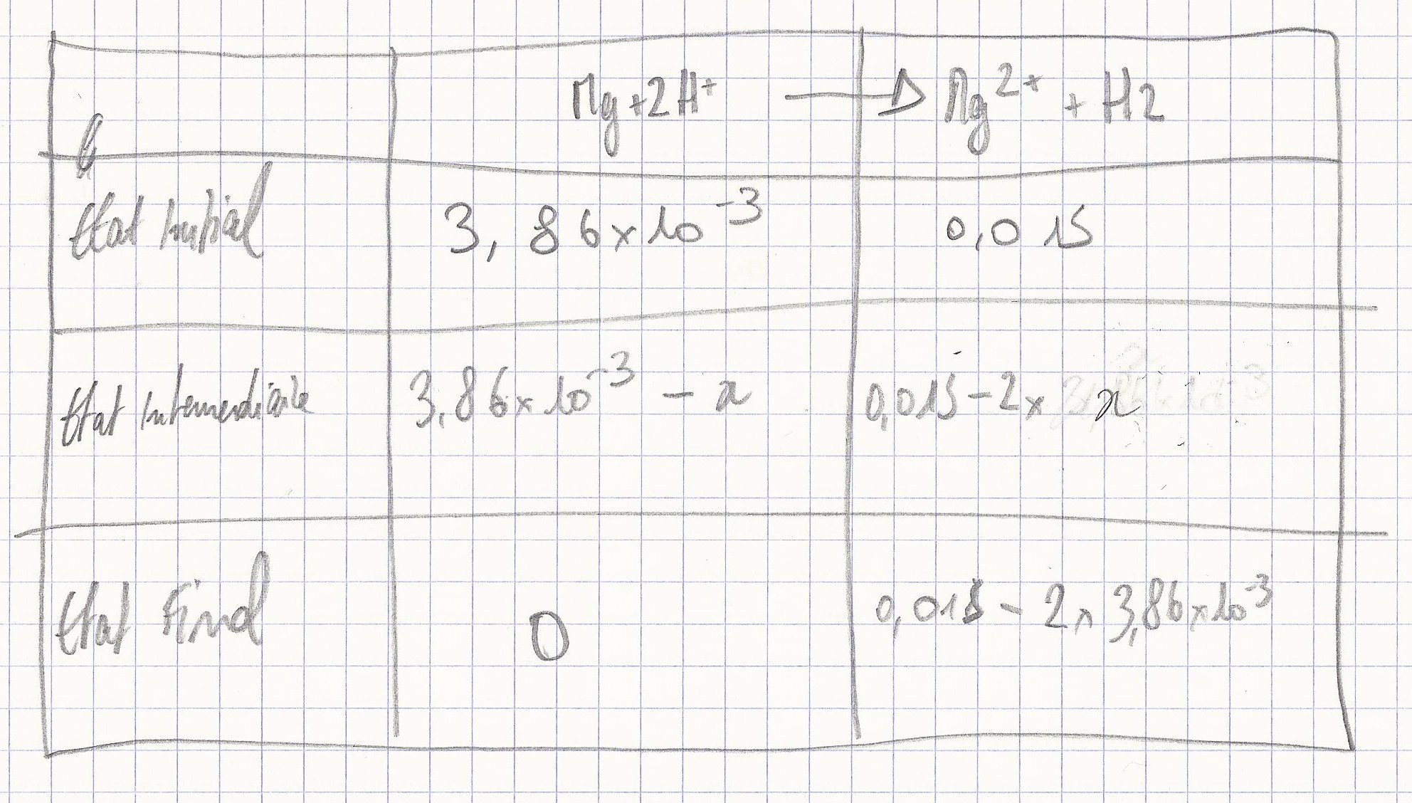
clemgym Posté(e) le 30 mars 2011 Auteur Signaler Posté(e) le 30 mars 2011 Bon, j'ai un soucis avec la tableau d'avancement, voila ce que j'ai fait (brouillon, bien évidemment) : Je ne pense pas que ce soit vraiment comme ça que tu as fait toi... Merci
E-Bahut Barbidoux Posté(e) le 30 mars 2011 E-Bahut Signaler Posté(e) le 30 mars 2011 Bon, j'ai un soucis avec la tableau d'avancement, voila ce que j'ai fait (brouillon, bien évidemment) : Je ne pense pas que ce soit vraiment comme ça que tu as fait toi... Merci
clemgym Posté(e) le 31 mars 2011 Auteur Signaler Posté(e) le 31 mars 2011 Bonjour, Alors, j'ai refait mon tableau comme tu me le dit, ce qui donne (normalement ^^ ) : Voila, est-ce que c'est bon ? Merci =)
E-Bahut Barbidoux Posté(e) le 31 mars 2011 E-Bahut Signaler Posté(e) le 31 mars 2011 Bonjour, Alors, j'ai refait mon tableau comme tu me le dit, ce qui donne (normalement ^^ ) : Voila, est-ce que c'est bon ? Merci =)
clemgym Posté(e) le 31 mars 2011 Auteur Signaler Posté(e) le 31 mars 2011 Oui bien sur, je l'ai ajouté à l'écrit après le tableau ! J'avais une dernière question, une seule, je ne vais pas créer un sujet pour cette question : Je dois "Combiner et additionner les équations des réactions (2) et (3) pour éliminer NO-3" : Les deux équations de réactions : (2) : 3ZN + 3NO-3 + 12h+ = 3ZN2+ + 2NO + 4H2O (3) : 5NO + 4h+ +3MnO4- = 5NO3- + 3Mn2+ + 2H2O Comment dois-je procéder ? Merci
E-Bahut Barbidoux Posté(e) le 31 mars 2011 E-Bahut Signaler Posté(e) le 31 mars 2011 Oui bien sur, je l'ai ajouté à l'écrit après le tableau ! J'avais une dernière question, une seule, je ne vais pas créer un sujet pour cette question : Je dois "Combiner et additionner les équations des réactions (2) et (3) pour éliminer NO-3" : Les deux équations de réactions : (2) : 3ZN + 3NO-3 + 12h+ = 3ZN2+ + 2NO + 4H2O (3) : 5NO + 4h+ +3MnO4- = 5NO3- + 3Mn2+ + 2H2O Comment dois-je procéder ? Merci
clemgym Posté(e) le 31 mars 2011 Auteur Signaler Posté(e) le 31 mars 2011 La question est précisément : Combiner et additionner les équations des réactions (2) et (3) pour éliminer NO-3 Donc je dois, je pense, faire des manips pour qu'il n'y ai plus de NO-3 dans les réactions...mais comment ??
E-Bahut Barbidoux Posté(e) le 31 mars 2011 E-Bahut Signaler Posté(e) le 31 mars 2011 Ces réactions ne sont pas écrites correctement (pas équilibrées...) écrites comme cela elle sont fausses... la première qui correspond au couples NO3-/NO et Zn2+/Zn doit s'écrire 3*Zn + 2*NO3- + 8*H+ = 3*Zn2+ + 2*NO + 4*H2O la seconde qui correspond aux couples NO3-/NO et MNO4-/Mn2+ doit s'écrire 5*NO + 4*H+ +3*MnO4- = 5*NO3- + 3*Mn2+ + 2*H2O La réaction entre les couples Zn2+/Zn et MNO4-/Mn2+ s'écrit 2*MnO4-+5*Zn+16*H+ =5*Zn2++8*H2O revient à multiplier la première réaction par 5, la seconde par 2 et de diviser les coefficients de la réaction obtenue par 3 5*(3*Zn + 2*NO3- + 8*H+ = 3*Zn2+ + 2*NO + 4*H2O) 2*(5*NO + 4*H+ +3*MnO4- = 5*NO3- + 3*Mn2+ + 2*H2O) ------------------------------------------------------------------------------ 15*Zn +10*NO+ 10*NO3-+ 48*H+ = 15*Zn2+ + 10*NO +10*NO3- + 3*Mn2++ 24*H2O 5*Zn + 16*H+ = 5*Zn2+ + 3*Mn2++ 8*H2O
clemgym Posté(e) le 1 avril 2011 Auteur Signaler Posté(e) le 1 avril 2011 Merci beaucoup Barbidoux ! =)
Messages recommandés
Archivé
Ce sujet est désormais archivé et ne peut plus recevoir de nouvelles réponses.