Aller au contenu

Calcul differentiel


Lolat25

Messages recommandés

Posté(e)

Bonjour,

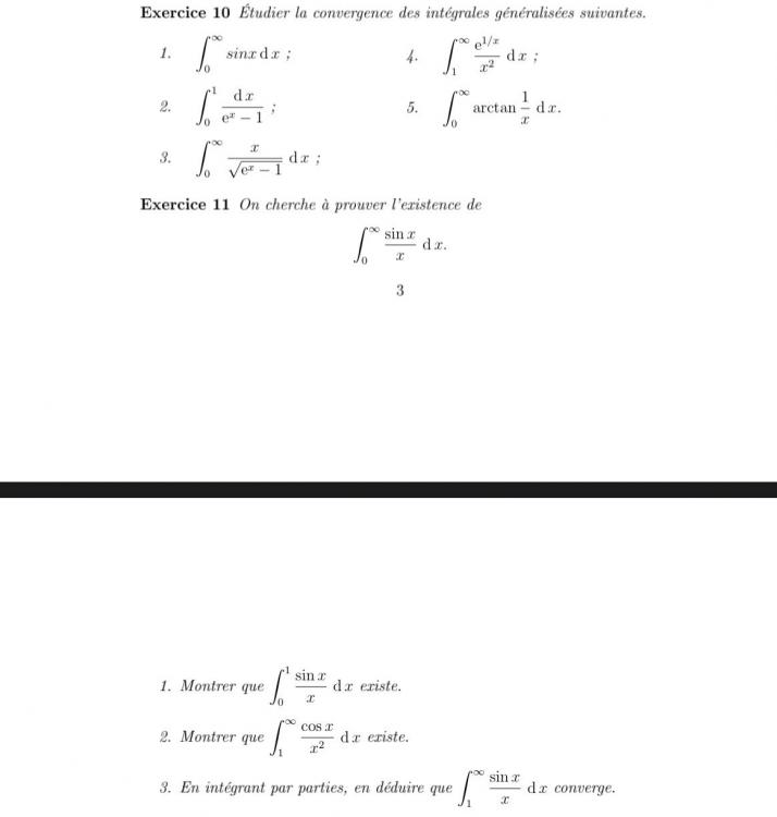
je fais actuellement des exercices d’entraînements, mais je ne comprends pas du tout comment faire pour ces 2 là, j’ai regardé de l’aide sur des sites mais je n’ai toujours pas compris... pourrais avoir des explications svp? 
merci bonne journée! 

EB9A4311-874F-4104-9F67-BDD70F8EB0DF.jpeg

Archivé

Ce sujet est désormais archivé et ne peut plus recevoir de nouvelles réponses.

×
×
  • Créer...
spam filtering
spam filtering