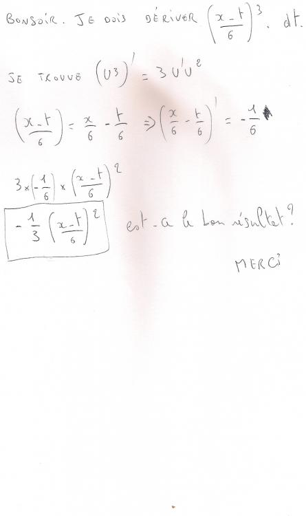
lolo le magicien Posté(e) le 28 février 2016 Signaler Posté(e) le 28 février 2016 bonsoir Je dois trouver une dérivée et je voudrais savoir si elle est exacte? Sachant que au départ, mon exercice est une intégration par partie, et après avoir choisi U et V , je dois en dériver un des deux La différentielle n'étant pas X mais t je joins mon travail Merci
E-Bahut Boltzmann_Solver Posté(e) le 28 février 2016 E-Bahut Signaler Posté(e) le 28 février 2016 Bonsoir, Niveau notation, ça cloche un peu. Ce serait mieux noté ainsi, f(x,t) = ((x-t)/6))^3. Et on calcule df/dt. Pour le calcul, vous avez fait une petite erreur de simplification. 3/6 = ....
lolo le magicien Posté(e) le 28 février 2016 Auteur Signaler Posté(e) le 28 février 2016 Quel étourdi!!!!!!!!!!!!!!! Merci encore
E-Bahut Boltzmann_Solver Posté(e) le 28 février 2016 E-Bahut Signaler Posté(e) le 28 février 2016 il y a 5 minutes, lolo le magicien a dit : Quel étourdi!!!!!!!!!!!!!!! Merci encore Pas de souci ! Bonne continuation dans votre reprise d'études.
lolo le magicien Posté(e) le 28 février 2016 Auteur Signaler Posté(e) le 28 février 2016 c'est pas facile mais j'aime ça avec un parcours assez atypique J ai arrêté en seconde il y a trente cinq ans et aujourd’hui je prépare une licence pro en électronique. Merci pour vos encouragements et je pense que je vous solliciterai certainement encore de temps à autre avec votre permission Merci pour tout
Messages recommandés
Archivé
Ce sujet est désormais archivé et ne peut plus recevoir de nouvelles réponses.