francoise 63 Posté(e) le 9 février 2016 Signaler Posté(e) le 9 février 2016 bonjour pouvez- vous me dires si mes exercices sont bons merci beaucoup
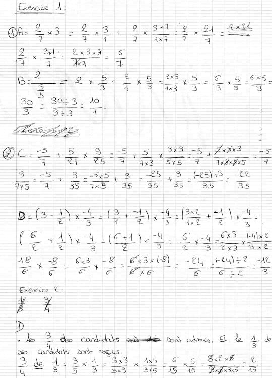
E-Bahut Papy BERNIE Posté(e) le 9 février 2016 E-Bahut Signaler Posté(e) le 9 février 2016 Bonjour, Pour A , c'est tout simple , tu écris : A=(2/7) x 3=( 2 x 3 ) /7=6/7 et c'est fini. Pour B=2 / (3/5) =2 x (5/3)=(2 x 5) /3 =10/3 et c'est fini. On ne réduit pas au même dénominateur quand on multiplie par une fraction. Je vais t'envoyer un scan de ce qu'il faut faire.
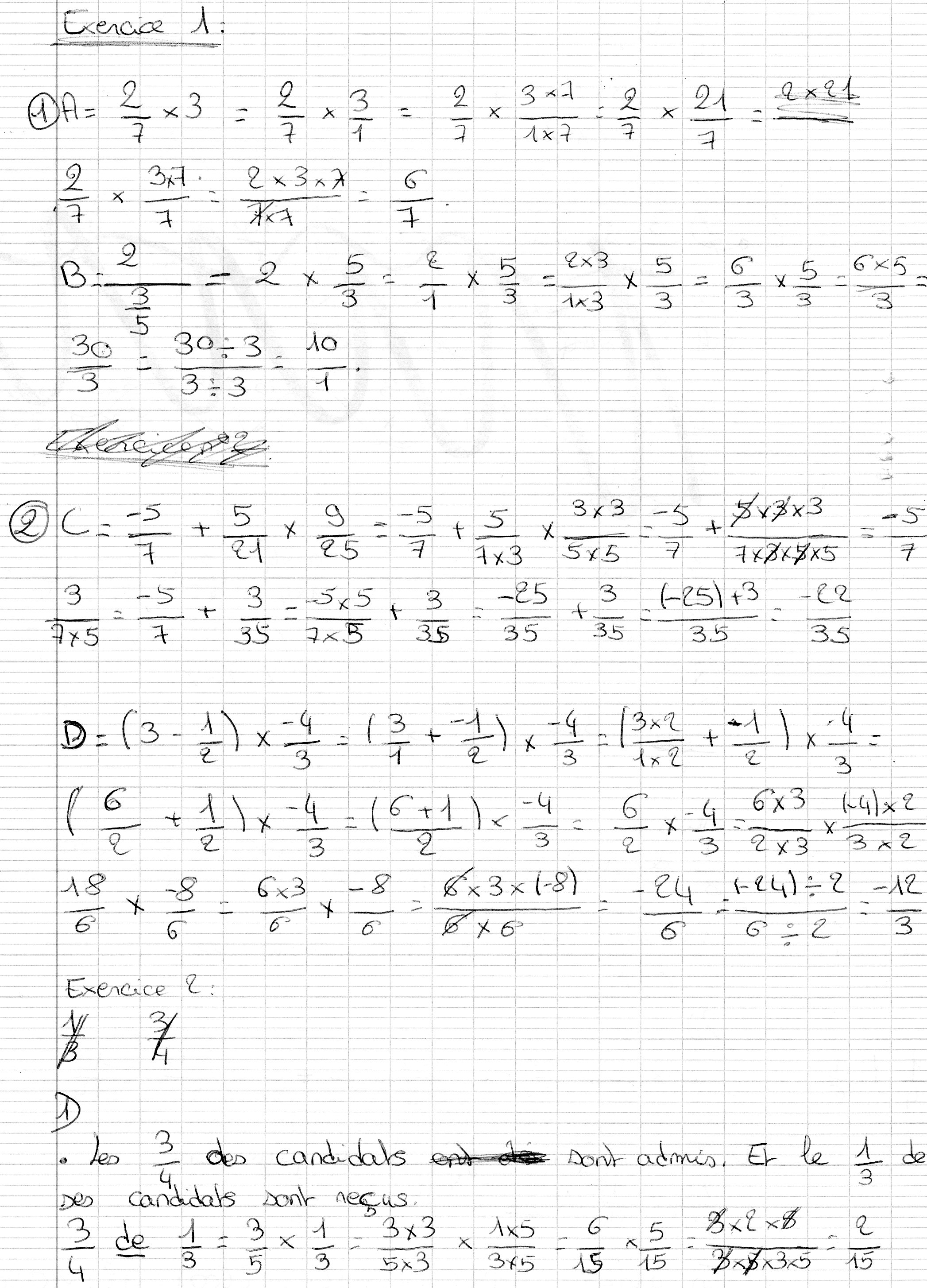
E-Bahut Papy BERNIE Posté(e) le 9 février 2016 E-Bahut Signaler Posté(e) le 9 février 2016 Tu regardes bien la pièce jointe . Ton exercice 3 sur l'aire de la partie grisée est tout bon. Bravo pour celui-là. Page 1.pdf
francoise 63 Posté(e) le 9 février 2016 Auteur Signaler Posté(e) le 9 février 2016 bonjour Papy Bernie merci beaucoup pour votre réponse , je viens bien regarder la pièce jointe bonne fin d après midi
Messages recommandés
Archivé
Ce sujet est désormais archivé et ne peut plus recevoir de nouvelles réponses.