Aller au contenu

Produit Scalaire


kairv

Messages recommandés

Posté(e)

Salut,

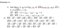
J'ai besoin d'aide pour ces deux exercices de math sur le produit scalaire. J'ai déjà commencé le premier, mais la dernière question me pose problème, j'ai besoin de l'équation de droite, mais je n'ai aucune idée comment la trouver.

J'ai aussi commencé le deuxième, mais je crois que tout est faux, mais j'ai tout mis au cas où…

Si vous pouvez m'aider (même une idée) j'en serais très reconnaissant. Aussi, si vous réussissez à trouver toute la réponse, j'aimerais bien connaitre la méthode que vous avez employés.

Merci d'avance.

post-51681-0-44733400-1295348958_thumb.j

post-51681-0-42697500-1295349063_thumb.j

post-51681-0-68675700-1295349103_thumb.p

post-51681-0-28399700-1295349143_thumb.p

post-51681-0-44733400-1295348958_thumb.j

post-51681-0-42697500-1295349063_thumb.j

post-51681-0-68675700-1295349103_thumb.p

post-51681-0-28399700-1295349143_thumb.p

post-51681-0-44733400-1295348958_thumb.j

post-51681-0-42697500-1295349063_thumb.j

post-51681-0-68675700-1295349103_thumb.p

post-51681-0-28399700-1295349143_thumb.p

post-51681-0-44733400-1295348958_thumb.j

post-51681-0-42697500-1295349063_thumb.j

post-51681-0-68675700-1295349103_thumb.p

post-51681-0-28399700-1295349143_thumb.p

post-51681-0-44733400-1295348958_thumb.j

post-51681-0-42697500-1295349063_thumb.j

post-51681-0-68675700-1295349103_thumb.p

post-51681-0-28399700-1295349143_thumb.p

post-51681-0-44733400-1295348958_thumb.j

post-51681-0-42697500-1295349063_thumb.j

post-51681-0-68675700-1295349103_thumb.p

post-51681-0-28399700-1295349143_thumb.p

post-51681-0-44733400-1295348958_thumb.j

post-51681-0-42697500-1295349063_thumb.j

post-51681-0-68675700-1295349103_thumb.p

post-51681-0-28399700-1295349143_thumb.p

post-51681-0-44733400-1295348958_thumb.j

post-51681-0-42697500-1295349063_thumb.j

post-51681-0-68675700-1295349103_thumb.p

post-51681-0-28399700-1295349143_thumb.p

post-51681-0-44733400-1295348958_thumb.j

post-51681-0-42697500-1295349063_thumb.j

post-51681-0-68675700-1295349103_thumb.p

post-51681-0-28399700-1295349143_thumb.p

post-51681-0-44733400-1295348958_thumb.j

post-51681-0-42697500-1295349063_thumb.j

post-51681-0-68675700-1295349103_thumb.p

post-51681-0-28399700-1295349143_thumb.p

post-51681-0-44733400-1295348958_thumb.j

post-51681-0-42697500-1295349063_thumb.j

post-51681-0-68675700-1295349103_thumb.p

post-51681-0-28399700-1295349143_thumb.p

post-51681-0-44733400-1295348958_thumb.j

post-51681-0-42697500-1295349063_thumb.j

post-51681-0-68675700-1295349103_thumb.p

post-51681-0-28399700-1295349143_thumb.p

Archivé

Ce sujet est désormais archivé et ne peut plus recevoir de nouvelles réponses.

×
×
  • Créer...
spam filtering
spam filtering