Aller au contenu

1Ere S Dm Math


Invité

Messages recommandés

Posté(e)

Bonjour j'ai un Devoir maison a rendre pour demain et ce DM est tres important ! Je ne suis pas du tout sure de mes resultats et calculs pouvez vous svp , m'apporter une correction ? merci d'avance .

voici l'énoncé :

post-50026-038909200 1288778069_thumb.jp

Voici le DM :

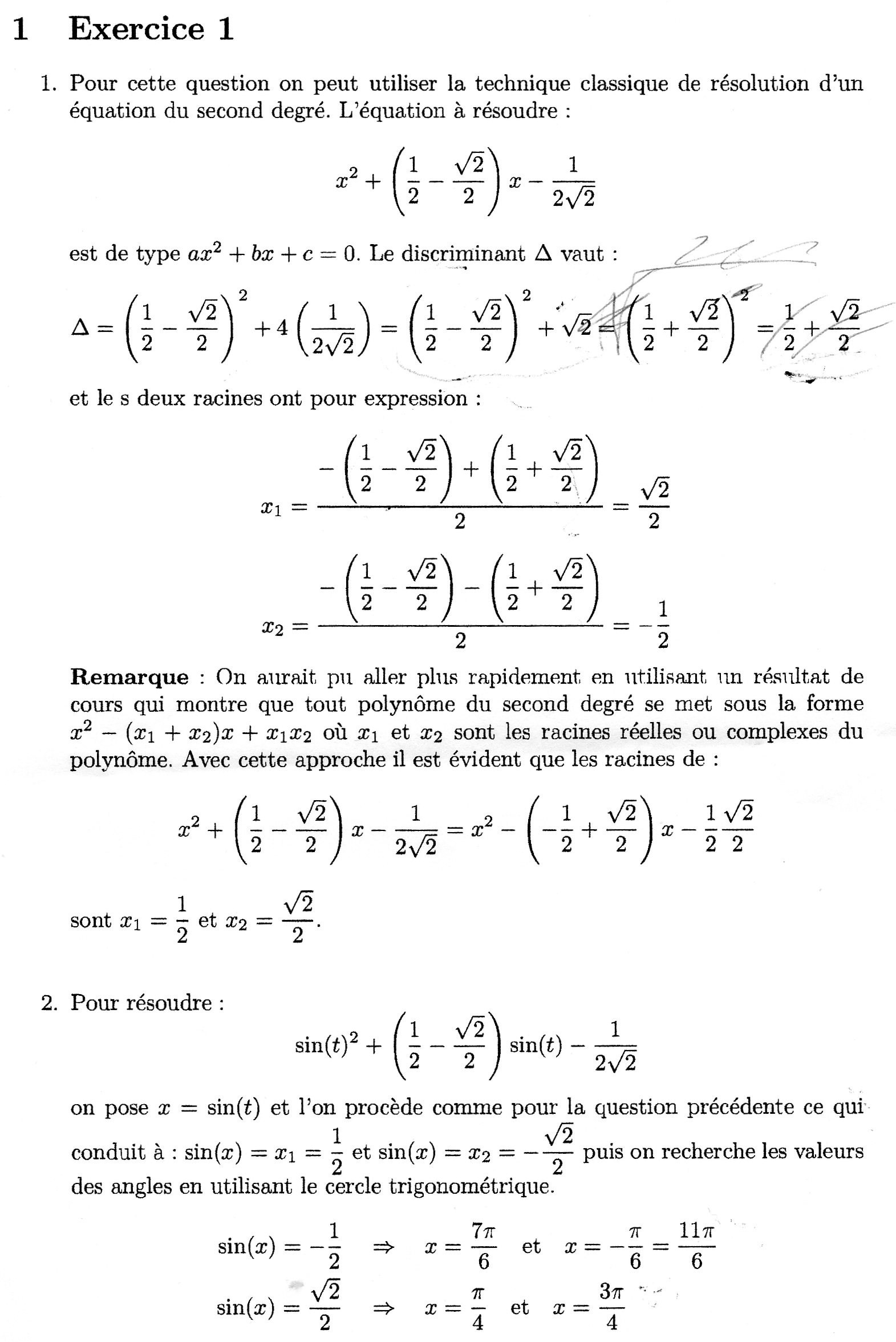
Ecercice 1 :

post-50026-022703000 1288778330_thumb.jp

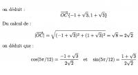
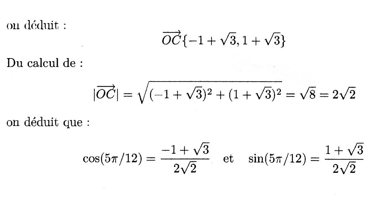
Ecercice 2 : (2 pages )

post-50026-007493900 1288778516_thumb.jp

post-50026-051536900 1288778614_thumb.jp

post-50026-038909200 1288778069_thumb.jp

post-50026-022703000 1288778330_thumb.jp

post-50026-007493900 1288778516_thumb.jp

post-50026-051536900 1288778614_thumb.jp

post-50026-038909200 1288778069_thumb.jp

post-50026-022703000 1288778330_thumb.jp

post-50026-007493900 1288778516_thumb.jp

post-50026-051536900 1288778614_thumb.jp

post-50026-038909200 1288778069_thumb.jp

post-50026-022703000 1288778330_thumb.jp

post-50026-007493900 1288778516_thumb.jp

post-50026-051536900 1288778614_thumb.jp

post-50026-038909200 1288778069_thumb.jp

post-50026-022703000 1288778330_thumb.jp

post-50026-007493900 1288778516_thumb.jp

post-50026-051536900 1288778614_thumb.jp

post-50026-038909200 1288778069_thumb.jp

post-50026-022703000 1288778330_thumb.jp

post-50026-007493900 1288778516_thumb.jp

post-50026-051536900 1288778614_thumb.jp

post-50026-038909200 1288778069_thumb.jp

post-50026-022703000 1288778330_thumb.jp

post-50026-007493900 1288778516_thumb.jp

post-50026-051536900 1288778614_thumb.jp

post-50026-038909200 1288778069_thumb.jp

post-50026-022703000 1288778330_thumb.jp

post-50026-007493900 1288778516_thumb.jp

post-50026-051536900 1288778614_thumb.jp

post-50026-038909200 1288778069_thumb.jp

post-50026-022703000 1288778330_thumb.jp

post-50026-007493900 1288778516_thumb.jp

post-50026-051536900 1288778614_thumb.jp

post-50026-038909200 1288778069_thumb.jp

post-50026-022703000 1288778330_thumb.jp

post-50026-007493900 1288778516_thumb.jp

post-50026-051536900 1288778614_thumb.jp

post-50026-038909200 1288778069_thumb.jp

post-50026-022703000 1288778330_thumb.jp

post-50026-007493900 1288778516_thumb.jp

post-50026-051536900 1288778614_thumb.jp

post-50026-038909200 1288778069_thumb.jp

post-50026-022703000 1288778330_thumb.jp

post-50026-007493900 1288778516_thumb.jp

post-50026-051536900 1288778614_thumb.jp

Archivé

Ce sujet est désormais archivé et ne peut plus recevoir de nouvelles réponses.

×
×
  • Créer...
spam filtering
spam filtering