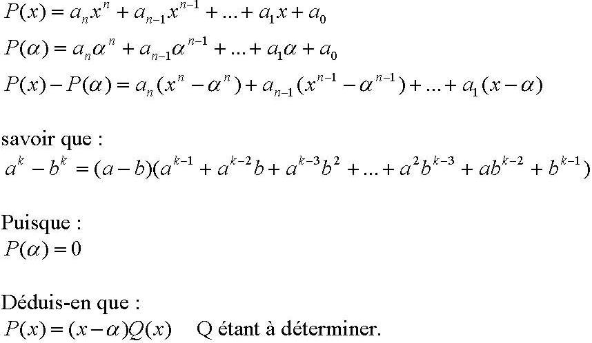
xixia Posté(e) le 31 octobre 2003 Signaler Posté(e) le 31 octobre 2003 bonjour à tous, comment peut-on montrer que (x-α) est un facteur commun dans P(x)-P(α)? (α étant une racine de P et que P(x)=a n x n + a n-1 x n-1 + … + a0) (je n'arrive pas a mettre les "n" "n-1" en indices et exposants sur cette page) merci d'avance pour réponses
philippe Posté(e) le 31 octobre 2003 Signaler Posté(e) le 31 octobre 2003 bonsoir, regarde le document attaché, il devrait t'éclairer.
xixia Posté(e) le 1 novembre 2003 Auteur Signaler Posté(e) le 1 novembre 2003 merci beaucoup, grâce à toi je devrais y arriver. encore merci.
Messages recommandés
Archivé
Ce sujet est désormais archivé et ne peut plus recevoir de nouvelles réponses.