Aller au contenu

Dm Fonction Exponentielle Correction Svp


AngelineAmor

Messages recommandés

  • E-Bahut
Posté(e)

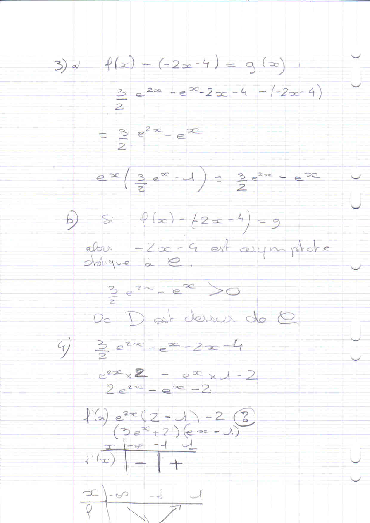
Bonjour j'ai fait mon dm ci joint mais je pense avori des erreur car je n'etait pas la lors de la lecon et je me suis aidé du livre mais bon ce n'est aps autant bien expliqué qu'un prof .... :(

/applications/core/interface/file/attachment.php?id=1378">maths1.bmp

/applications/core/interface/file/attachment.php?id=1379">maths2.bmp

/applications/core/interface/file/attachment.php?id=1378">maths1.bmp

/applications/core/interface/file/attachment.php?id=1379">maths2.bmp

/applications/core/interface/file/attachment.php?id=1378">maths1.bmp

/applications/core/interface/file/attachment.php?id=1379">maths2.bmp

/applications/core/interface/file/attachment.php?id=1378">maths1.bmp

/applications/core/interface/file/attachment.php?id=1379">maths2.bmp

/applications/core/interface/file/attachment.php?id=1378">maths1.bmp

/applications/core/interface/file/attachment.php?id=1379">maths2.bmp

/applications/core/interface/file/attachment.php?id=1378">maths1.bmp

/applications/core/interface/file/attachment.php?id=1379">maths2.bmp

/applications/core/interface/file/attachment.php?id=1378">maths1.bmp

/applications/core/interface/file/attachment.php?id=1379">maths2.bmp

/applications/core/interface/file/attachment.php?id=1378">maths1.bmp

/applications/core/interface/file/attachment.php?id=1379">maths2.bmp

/applications/core/interface/file/attachment.php?id=1378">maths1.bmp

/applications/core/interface/file/attachment.php?id=1379">maths2.bmp

/applications/core/interface/file/attachment.php?id=1378">maths1.bmp

/applications/core/interface/file/attachment.php?id=1379">maths2.bmp

post-12485-1146032424_thumb.jpg

post-12485-1146032436_thumb.jpg

post-12485-1146032447_thumb.jpg

post-12485-1146032456_thumb.jpg

/applications/core/interface/file/attachment.php?id=1378">maths1.bmp

/applications/core/interface/file/attachment.php?id=1379">maths2.bmp

post-12485-1146032424_thumb.jpg

post-12485-1146032436_thumb.jpg

post-12485-1146032447_thumb.jpg

post-12485-1146032456_thumb.jpg

maths1.bmp

maths2.bmp

post-12485-1146032424_thumb.jpg

post-12485-1146032436_thumb.jpg

post-12485-1146032447_thumb.jpg

post-12485-1146032456_thumb.jpg

Archivé

Ce sujet est désormais archivé et ne peut plus recevoir de nouvelles réponses.

×
×
  • Créer...
spam filtering
spam filtering