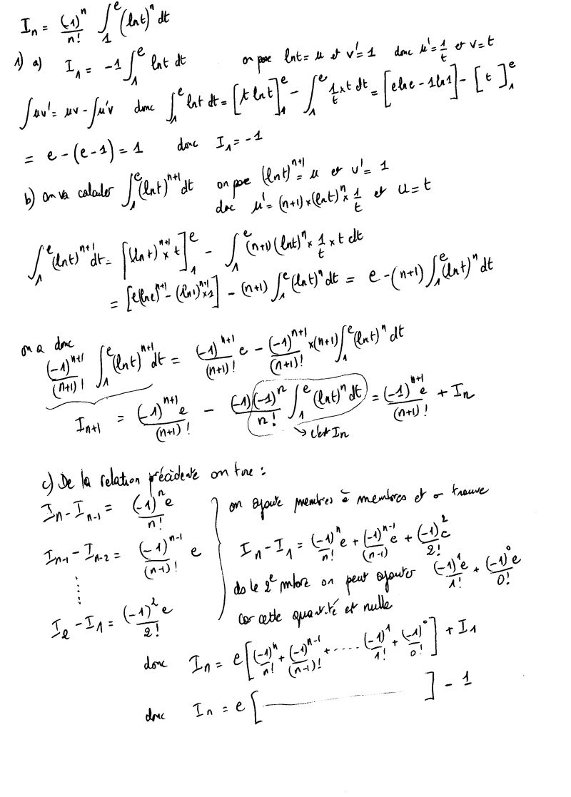
katana Posté(e) le 9 avril 2005 Signaler Posté(e) le 9 avril 2005 Bonjour, j'ai 2 exercices a faire et je les trouve vraiment dur. Ex 1 : Dans cet exercice, n désigne un entier naturel non nul, pour tout n, on pose : I(n) = [((-1)^n)/n!] x intégrale de 1 à e (ln t)^n dt 1)a) A l'aide d'une intégration par parties, montrer que I(1) = -1 B) Montrer que pour tout n, on a
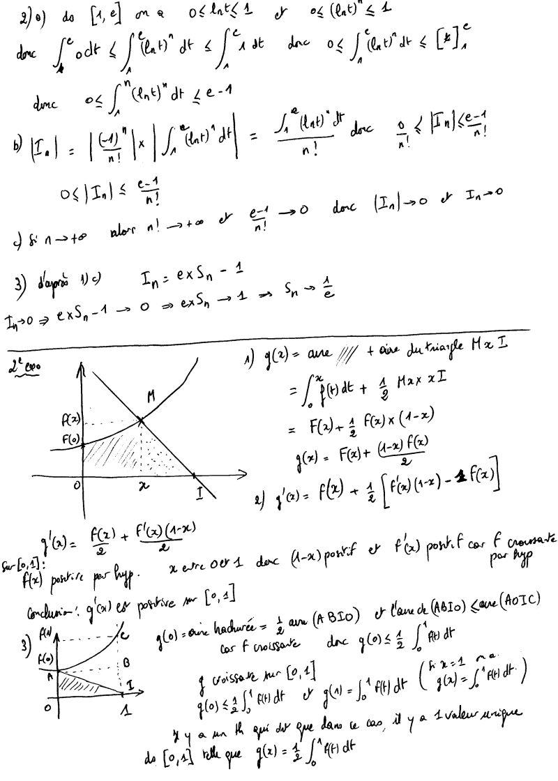
katana Posté(e) le 9 avril 2005 Auteur Signaler Posté(e) le 9 avril 2005 I(n+1) = I(n) + [((-1)^n+1)/(n+1)!] x e c) Montrer que que pour tout n on a I(n) = e((1/0!)-(1/1!)+(1/2!)-...+(-1^n/n!)) 2)a) Démontrer qe 0 < intégrale de 1 à e (ln t)^n dt < e - 1 (< = inférieur ou égal à...) B) en déduire que |I(n)| < (e-1)/n! ( la aussi < ceu dire inférieur ou éga a) c) que peut on en déduire pour la suite I(n) ? 3) Pour tout n, on pose
katana Posté(e) le 9 avril 2005 Auteur Signaler Posté(e) le 9 avril 2005 Sn = (1/0!) - (1/1!) + (1/2!) -...+ (-1^n/n!) Déduire des questions précédentes la limite de la suite S(n) 2eme exo : Le plan est rapporté à un repère orthonormé (O, i, j). On note I le point de coordonnées (1;0) Soient f, une fonction positive, strictement croissante et dérivable sur [0;1], C sa courbe représentative dans le repère (0, i, j) et delta la portion du plan comprise entre C, l'axe des abcisses et les droites d'équation x = 0 et x = 1.
katana Posté(e) le 9 avril 2005 Auteur Signaler Posté(e) le 9 avril 2005 Le but du probleme est de prouver l'existence d'un unique réel alpha appartenant à l'intervalle [0;1] tel que, si A est le point de C d'abcisse alpha, le segment [iA] partage delta en deux régions de meme aire. Pour tout x appartient à [0;1], on note Mx le pt de coordonnées (x;f(x)) et Tx le domaine limité par la droite (Imx), l'axe des abcisses, l'axe des ordonnées et la courbe C. On désigne par F la fonction définie par D(x) = (intégrale de 0 à x) f(t)dt et par g(x) l'aire de Tx 1) exprimr pr tout x appartient à [0;1], g(x) en fonction de x, f(x) et F(x) 2) calculer g'(x) et en déduire le sens de variation de la fonction g sur [0;1] 3) Par des considérations d'aires, montrer que g(0) < 1/5 (intégrale de 0 à 1)f(t)dt 4) Montrer qu'il existe un unique réel alpha de [0;1] tel que g(alpha) soit égal à la moitié de l'air de delta Merci
E-Bahut elp Posté(e) le 10 avril 2005 E-Bahut Signaler Posté(e) le 10 avril 2005 je t'envoie par fichier joint quelques indications.
Messages recommandés
Archivé
Ce sujet est désormais archivé et ne peut plus recevoir de nouvelles réponses.