Aller au contenu

Baaaaaadet

Membres
  • Compteur de contenus

    52
  • Inscription

  • Dernière visite

Tout ce qui a été posté par Baaaaaadet

  1. j'ai avancé un peu de mon côté et je me suis rendu à la question 3) b) ou je bloque
  2. Voici une meilleure version, puis-je-avoir de l'aide pour la suite svp
  3. Bonjour j'ai un dm à faire et j'aimerais de l'aide s'il vous plait. J'ai terminé la partie A mais j'aimerais avoir quelques indications sur la partie B.1, voici ce que j'ai fait et j'aimerais savoir si cela est bon s'il vous plait. DM05_Exponentielle.pdf
  4. Effectivement j'avais oublier un gros détail dont je me suis rendu du compte pendant la soirer et j'ai corrigé cela. J'avais ajouter comme ligne " et on sais que f(0)=0 ". Actuellement je suis à la 4 a). Et j'ai de très vague souvenir de c'est quoi un encadrement et comment le définir pouvais vous m'éclairer svp
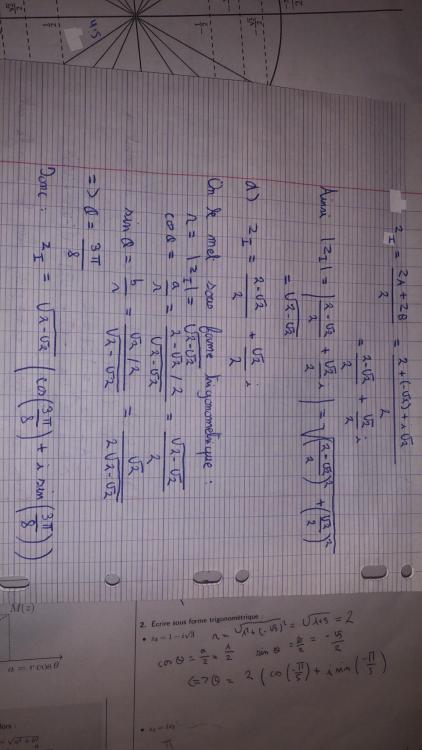
  5. Voila ce que j'ai fait cela est juste et suffisant ?
  6. Ah ba oui je me sens un peu bête 😅
  7. Merci ! J'ai compris l'explication et j'ai avancé de mon côté, mais maintenant je suis complètement bloqué sur la question 3. (a). Je ne vois pas par où il faut commencer
  8. Bonjour, ça serait pour avoir une précision concernant ce dm, pour la 1 j'ai fais delta et je trouve les deux racines qui sont (5+sqrt(13))/2 et (5-sqrt(13))/2 et je me demandais si c'était suffisant ou il fallait que je dois donner autre chose svp ?
  9. Merci, je comprends mieux, mais je ne comprends pas la correction de celui-là (les réponses sont 2;3;4) Pour la 1 j'ai choisi une matrice avec des 0 partout sauf dans une place puis j'ai posé le calcule et j'en ai déduit qu'elle est toujours vraie. Pour la 2 j'ai choisi avec la même méthode avec des chiffres différents et je tombe sur une égalité donc elle n'est pas toujours vraie.
  10. J'ai avancé et je suis bloqué ici normalement cela n'est pas possible ?
  11. J'ai trouvé que c'est c31 avec comme valeur -1 ai-je bon ?
  12. Baaaaaadet

    site à l'abandon ?

    Moi, je suis très satisfait de connaitre ce site, cela fais plus de 2 ans que je me suis inscrit et j'ai reçu beaucoup d'aide. Et d'autant plus que je préfère ce site.
  13. Baaaaaadet

    urgent svp

    une personne peut m'aider
  14. Baaaaaadet

    urgent svp

    Bonjour, je suis bloqué à ces deux exercices. J'ai trouvé que pour la A il y avait un dépôt de cuivre
  15. Baaaaaadet

    urgent svp Exercice

    Ok merci, j'ai trouvé, pouvez-vous m'aider pour la dernière question
  16. Bonjour, pouvez-vous m'aider, je trouve que Vn = 1/2 * (1/2)^n, mais je n'arrive pas à trouver Un
  17. Baaaaaadet

    Question SVP

    svp
  18. Baaaaaadet

    Question SVP

    Je ne comprends pas comment vous avez fait pour trouver la réponse
  19. Baaaaaadet

    Question SVP

    Mais je ne comprends pas pourquoi c'est la dernière, comment je dois procéder pour savoir ?
  20. Bonjour, je ne comprends pas cette question (il faut dire les qu'elles sont vraies ou fausse) : Soit θ ∈ R . e^iθ ∈ R si et seulement si : θ = 0 θ = 2pi θ = 2kpi , k ∈ Z θ = kpi , k ∈ Z
  21. Ok merci beaucoup
  22. Baaaaaadet

    DM philo

    Bonjour une personne peut m'aider pour les questions svp Par-delà Nature et Culture.pdf
  23. Super ! J'ai compris voila ma trace finale
  24. Bonjour Oui, c'est ce que j'ai écrit :
  25. Voilà ce que j'ai fait pour la suite, ai-je bon ?
×
×
  • Créer...
spam filtering
spam filtering