E-Bahut 789mous Posté(e) le 27 avril 2004 E-Bahut Signaler Posté(e) le 27 avril 2004 voila mon probleme c'est un exo d'un DM que je doit rendre apres les vacances. En général j'ai pas trop de mal avec les maths mais là c'est un probleme qui me parait tres louche. Voila l'énoncer. J'ai besoin d'aide surtout pour comprendre comment trouver la suite Pn . merci d'avance
E-Bahut 789mous Posté(e) le 27 avril 2004 Auteur E-Bahut Signaler Posté(e) le 27 avril 2004 voila ce que j'ai fait c'est assez mince je trouve aidez moi svp !
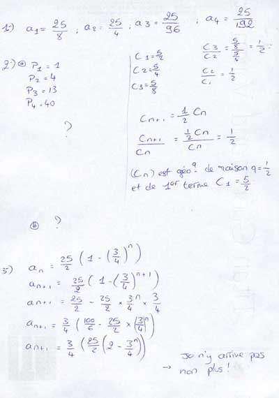
E-Bahut 789mous Posté(e) le 28 avril 2004 Auteur E-Bahut Signaler Posté(e) le 28 avril 2004 svp g vraiment besoin d'aide
philippe Posté(e) le 28 avril 2004 Signaler Posté(e) le 28 avril 2004 bonjour 1-calculs faciles 2- étape1: p(1)=1, c(1)=5/2 étape2: p(2)=3, c(1)=5/4 étape3: p(3)=9, c(1)=5/8 étape4: p(4)=27, c(1)=5/16 ... voyons ça de plus près: étape1: p(1)=1, c(1)=5/2 étape2: p(2)=3^1, c(1)=5/2^2 étape3: p(3)=3^2, c(1)=5/2^3 étape4: p(4)=3^3, c(1)=5/2^4 ... on voit que à l'étape n: étape n: p(n)=3^(n-1) , c(n)=5/2^n on montre facilement que (pn) et (cn) sont géométriques: p(n+1)/p(n)=3 et c(n+1)/c(n)=1/2 (indep de n) p(1)=1, c(1)=5/2 aire d'un triangle à l'étape n: aire=base*hauteur/2=cn²/2=25/4^n aire des pn triangles à l'étape n: bn=pn*25/4^n=3^(n-1)*25/4^n=25/6*(3/4)^n aire totale des triangles à l'étape n: a(n)=b(1)+b(2)+...+b(n) =25/6*3/4[1+3/4+(3/4)^2+...+(3/4)^(n-1)] =25/6*3/4[1-(3/4)^n]/[1-3/4] =25/2*[1-(3/4)^n] rappel : 1+q+q²+...+q^(n-1)=(1-q^n)/(1-q) pour q<>1 je te laisse la suite, c'est pas sorcier! on cherche a pour que u(n)=a(n)-a soit géométrique. alors il existe q<>0 tel que u(n+1)=q.u(n) soit a(n+1)-a=q[a(n)-a] 3/4a(n)+25/8-a=q.a(n)-q.a donc 3/4a(n)=qa(n) et 25/8-a=-q.a donne q=3/4 et a=25/2 vérifie que a(n+1)-25/2=3/4*[a(n)-25/2] la suite (u(n))=(a(n)-25/2) est donc géométrique de raison q=3/4 et de 1er terme u(1)=a(1)-25/2=3*25/8 autrement dit u(n)=u(1)*(3/4)^(n-1) (toujours pour n>0) donc a(n)-25/2=3*25/8*(3/4)^(n-1) donc a(n)=25/2*[1-(3/4)^n] puisque 3/4<1 alors limite((3/4)^n,n-->oo)=0 et par suite limite(a(n),n-->oo)=25/2 c'est l'aire du triangle initial autrement dit tous les triangles ont tendance à recouvrir totalement le triangle de base.
E-Bahut 789mous Posté(e) le 28 avril 2004 Auteur E-Bahut Signaler Posté(e) le 28 avril 2004 j'te dis un grand merci je vais reessayer de le faire.
Messages recommandés
Archivé
Ce sujet est désormais archivé et ne peut plus recevoir de nouvelles réponses.