Aller au contenu

Matrice: Applications linéaires dans R^n


Ch00Ch00

Messages recommandés

Posté(e)

Bonsoir,

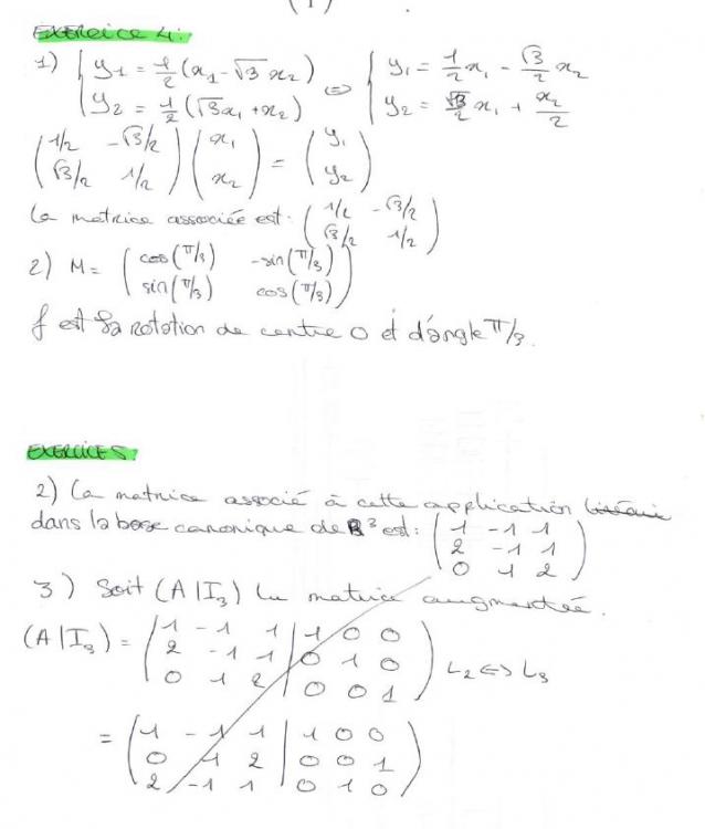
Je suis bloqué à la question 3 et 4 de l'exercice 4 et la question 1 et 4 de l'exercice 5

593d7f2d71c08_ebahut.thumb.JPG.31fe46675b60a58623d76d8c4f8a8bb4.JPG593d7f2e01b35_ebahut.thumb.JPG.e4936349e6c4cb680c77d2ee9d3c17c6.JPG

 

Pour l'exercice 5: 

3) La matrice inverse de A j'ai trouvé:

A^-1 =

  -1    1   0 
-4/3  2/3 1/3 
 2/3 -1/3 1/3 

 

Merci d'avance pour vos aides, 

Posté(e)

Bonsoir,

Exercice 4/ OK.

pour 4-3/ La transformée de (D) sera une droite 'D'). Il suffit donc de prendre deux points particuliers quelconques A et B de (D), de chercher les coordonnées de leurs transformés A' et B' dans la rotation puis d'écrire une équation de la droite passant par A' et B'.

4-4/ Chercher les coordonnées de l'image Ω' de Ω par la rotation. Le cercle cherché aura pour centre Ω' et pour rayon :sqrt:2

Posté(e)

5/ La matrice inverse est correcte. On aura X=A^-1 T( 1 0 1)

Je pense qu'on veut vous faire dire que les 2 vecteurs sont orthogonaux.

Posté(e)

Pour 4-3 et 4-4, vous pouvez aussi exprimer les anciennes coordonnées d'un point en fonction des nouvelles et remplacer dans les équations données.

C'est plus rapide pour ce qui est de la droite, mais moins rapide pour le cercle.

Le anciennes coordonnées sont obtenues au moyen de la matrice inverse qui est la transposée de la matrice de rotation (matrice orthogonale). Cela revient à faire tourner les axes de -θ, la droite (D) restant fixe .

Archivé

Ce sujet est désormais archivé et ne peut plus recevoir de nouvelles réponses.

×
×
  • Créer...
spam filtering
spam filtering