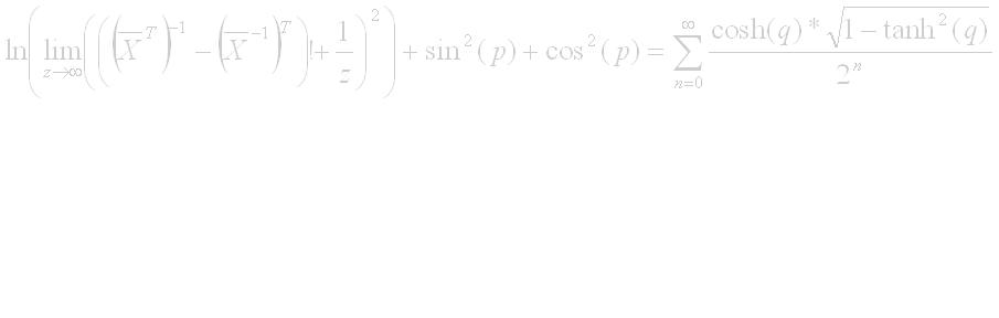
E-Bahut pascalcolin3 Posté(e) le 20 décembre 2003 E-Bahut Signaler Posté(e) le 20 décembre 2003 Voilà Beaucoup plus dur: Comment écrire plus simplement la formule qui est sur l'image ??? (j'espère qu'elle va passer)
Abby LOCKHART Posté(e) le 21 décembre 2003 Signaler Posté(e) le 21 décembre 2003 ARF!!! C'est quoi cette formule????!!! C'est pas la peine que je cherche moi qui suis allergique aux maths!lol Je propose tout de même une réponse.... Après avoir murement consulté mes neurones, je propose: axb=ab ?
E-Bahut pascalcolin3 Posté(e) le 21 décembre 2003 Auteur E-Bahut Signaler Posté(e) le 21 décembre 2003 non désolé ce n'est pas ça !!!
Abby LOCKHART Posté(e) le 21 décembre 2003 Signaler Posté(e) le 21 décembre 2003 Ben encore heureux que c'est pas ça!! Si c'était ça je fais bac S! lol
DrCarter Posté(e) le 21 décembre 2003 Signaler Posté(e) le 21 décembre 2003 Moi j'ai cherché mais j'ai pas trouvé c'est trop dur ta formule Si il y en a qui trouve la solution je leur dit bravo
philippe Posté(e) le 21 décembre 2003 Signaler Posté(e) le 21 décembre 2003 ben terme par terme: le 1er c'est ln(1)=0 le 2ème c'est de la trigo qui fait 1 de l'autre côté: les termes hyperboliques sortent de la somme et font 1 la somme vaut 2 donc: 1=2 sauf erreur ce qui est encore possible!
E-Bahut pascalcolin3 Posté(e) le 21 décembre 2003 Auteur E-Bahut Signaler Posté(e) le 21 décembre 2003 C'est presque ça mais il y a une erreur en effet ! Tu va devoir chercher encore philippe!!!
philippe Posté(e) le 21 décembre 2003 Signaler Posté(e) le 21 décembre 2003 ptite question dans la limite ça serait pas exposant z au lieu de 2? (histoire d'avoir ln(e)=1 au final et donc 2=2)?
E-Bahut pascalcolin3 Posté(e) le 21 décembre 2003 Auteur E-Bahut Signaler Posté(e) le 21 décembre 2003 non tjs pas !!! Les fichiers .pps marchent si je les mets en pièce jointe ???
philippe Posté(e) le 22 décembre 2003 Signaler Posté(e) le 22 décembre 2003 Mieux!!! [(X^T)^-1-(X^-1)^T]!=sqrt(e)
E-Bahut pascalcolin3 Posté(e) le 22 décembre 2003 Auteur E-Bahut Signaler Posté(e) le 22 décembre 2003 en fait c'est tout simplement "1+1=2" !!! Donc tu y était presque avec 2=2! Pour plus d'info, écrivez moi et je vous enverrai un fichier pps que je ne peux pas mettre ici.
SgT Posté(e) le 26 décembre 2003 Signaler Posté(e) le 26 décembre 2003 en ayant lu tt sa cos²(x) + sin²(x) = 1 no donc o ln(e)=1 Alors 1+1=2 a moins que je sois HS ^^
Messages recommandés
Archivé
Ce sujet est désormais archivé et ne peut plus recevoir de nouvelles réponses.