Aller au contenu

gonnapassout

Membres
  • Compteur de contenus

    4
  • Inscription

  • Dernière visite

Informations

  • Classe
    Terminale
  • Sexe
    Fille
  • Pays/Ville
    Grenoble

Visiteurs récents du profil

Le bloc de visiteurs récents est désactivé et il n’est pas visible pour les autres utilisateurs.

  1. d'accord merci à vous et bonne soirée
  2. merci mais j'avoue que je n'y arrive toujours pas 😕
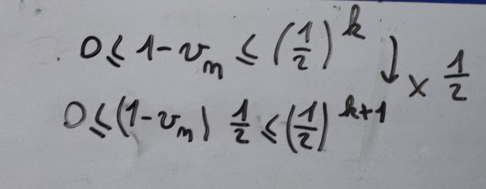
  3. Bonjour, je bloque sur la rédaction d'un raisonnement par récurrence au moment de prouver son hérédité. J'ai une suite définie par une fonction vn+1=f(vn) où f(x)=(2+3x)/(4+x) La proposition Pk est 0<= 1-vk<=(0.5)^k j'ai commencé à dvp le raisonnement mais je ne sais pas comment faire pour appliquer la fonction et tomber sur Pk+1 pour prouver l'hérédité, peut être que les questions préalable à l'exercice peuvent aider ... Si quelqu'un pourrait me donner quelques pistes cela m'aiderai beaucoup
  4. Je n'arrive pas à exprimer u(n) en à partir d'une suite auxiliaire, ni de démontrer la nature de cette suite auxiliaire. J'aurais particulièrement besoin d'aide pour le 2) a) et b) l'asterix c'est là où j'ai essayé de retourner la suite auxiliaire + je comprends pas l'exercice trois 2)3(
×
×
  • Créer...
spam filtering
spam filtering